Logo Dr. Lincoln Sposito
Perícia Bancária ← Ver outros artigos sobre Perícia Judicial

Falha na Gestão de CCBs e Superendividamento: Teses para Revisão de Juros e Erro Material

RESUMO ESTRATÉGICO PARA ADVOGADOS

A Cédula de Crédito Bancário (CCB) é o motor do Superendividamento moderno. Este artigo revela como falhas na gestão de emissão e erros de parametrização geram um Erro Material invisível ao olho humano. Entenda como a ausência de transparência algorítmica na CCB permite a revisão de juros abusivos e a proteção do mínimo existencial do seu cliente.

A Chave da Impugnação:

Provar a nulidade em uma CCB exige demonstrar que o título perdeu sua certeza e liquidez devido a divergências aritméticas sistêmicas. Ao final, apresento o roteiro de quesitos para expor essas falhas e fundamentar sua tese revisional.

Análise de contratos e sistemas bancários.

Introdução

A Cédula de Crédito Bancário (CCB), instituída pela Lei nº 10.931/2004, consolidou-se como o principal instrumento de crédito no cenário brasileiro, oferecendo às instituições financeiras um título executivo extrajudicial de rito célere e garantias robustas. No entanto, o que deveria ser um exemplo de eficiência operacional transformou-se, na prática pericial, em um repositório de imprecisões técnicas e opacidade administrativa. A análise de contratos oriundos de instituições de médio porte, muitas vezes especializadas em crédito consignado e operando a partir de polos financeiros regionais — como o próspero interior de Minas Gerais ou os centros de decisão na capital paulista — revela um cenário onde a automatização dos "motores de cálculo" ignora as particularidades pactuadas, gerando um custo oculto que distorce o equilíbrio contratual e impõe ao devedor um ônus financeiro invisível ao olhar não técnico.

Este artigo propõe uma análise profunda sobre como a falha na gestão administrativa desses instrumentos, somada a uma arquitetura de sistemas bancários que prioriza a escala em detrimento da exatidão, resulta em prejuízos matemáticos mensuráveis. A perícia financeira, ao atuar sobre essas estruturas, não apenas revisa juros, mas audita a própria integridade do fluxo de caixa projetado versus o executado.


A Natureza do Contrato de Adesão e o Vício de Transparência

O ponto de partida para compreender a falha na gestão reside na própria natureza da CCB como um contrato de adesão. O tomador do crédito não possui margem para negociar cláusulas; ele adere a um pacote tecnológico e jurídico pré-formatado. A ineficiência institucional manifesta-se quando a instituição financeira falha em cumprir o dever de informação, omitindo o impacto real de taxas e encargos no Custo Efetivo Total (CET). No âmbito pericial, é comum encontrar "cláusulas de estilo" que autorizam débitos ilimitados em conta e pacotes sancionatórios abusivos que sequer foram parametrizados corretamente nos sistemas de cobrança, gerando divergências entre o que o jurídico do banco escreve e o que o TI do banco executa.


A Gestão Irregular dos Prazos de Carência e a Teoria do Saldo Devedor

Uma das lacunas mais críticas na gestão de CCBs reside no tratamento do período de carência. Matematicamente, o intervalo entre a assinatura do contrato e o vencimento da primeira prestação é um período de incidência de juros remuneratórios. Contudo, a ineficiência administrativa manifesta-se quando as instituições aplicam uma contagem de dias que não corresponde ao intervalo cronológico real. Por exemplo, em um contrato onde se pactua uma carência de 30 dias, mas a execução sistêmica ocorre em 45 dias sem o ajuste proporcional da parcela, o saldo devedor inicia sua trajetória já inflado.

Este fenômeno desvirtua o sistema de amortização (seja Price ou SAC), pois o juro da carência é capitalizado de forma opaca. No momento em que o cliente paga a primeira prestação, ele não está amortizando o capital originalmente emprestado, mas sim um montante já contaminado por uma gestão de datas imprecisa. O perito, ao reconstruir o histórico do contrato, constata que o banco muitas vezes falha em ajustar seus sistemas internos às condições específicas negociadas, resultando em uma execução financeira que atropela os limites éticos do contrato.


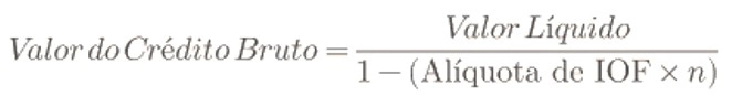
A Anatomia do Erro: O Método Gross Up e a Majoração do IOF

A gestão do Imposto sobre Operações Financeiras (IOF) é, talvez, o campo onde a ineficiência bancária produz os resultados mais perversos. Para que o tomador receba o valor líquido solicitado, as instituições utilizam a técnica do Gross Up, que consiste em calcular o valor bruto do empréstimo de modo que, após a retenção do IOF, o valor líquido remanesça intacto. A fórmula matemática para essa operação é rigorosa:

Fórmula matemática para cálculo do valor bruto do empréstimo com Gross Up

A falha de gestão ocorre quando o banco utiliza uma base de cálculo inflada ou prazos de incidência fictícios para majorar o imposto. Ao financiar o IOF dentro do saldo devedor, o banco acaba por cobrar juros remuneratórios sobre um tributo que ele próprio calculou incorretamente. Isso gera um lucro indireto para a instituição, uma vez que ela retém do cliente um valor a título de imposto que excede a obrigação tributária real, financiando essa diferença a taxas de mercado. No caso de uma CCB padrão, a divergência entre o valor bruto calculado pelo perito e o valor bruto imposto pelo banco pode superar 6% do valor total do contrato já no dia zero.

💻 O OLHAR DO PERITO EM TI: Auditoria Algorítmica de CCBs

Como especialista e profissional de TI por muitos anos, identifico que muitas CCBs são geradas por "motores de cálculo" que não respeitam as cláusulas pactuadas, criando um Erro Material que o olho humano não detecta, mas o log do sistema confessa. Minha perícia foca em extrair essa evidência digital para fundamentar a nulidade do título.


O Efeito Cascata na Parcela Mensal

A ineficiência na gestão do IOF e da carência culmina no erro do valor da parcela. É aqui que o prejuízo se torna mensal e cumulativo. Conforme evidenciado em análises técnicas, há casos onde a parcela matematicamente justa, baseada na taxa pactuada e no valor líquido real, deveria ser de R$ 1.129,88, mas a instituição financeira, devido a erros de parametrização e inclusão de tarifas acessórias não transparentes, debita mensalmente R$ 1.250,64.

Esta diferença de R$ 120,76 por parcela não é um mero detalhe; em um plano de 48 meses, o erro administrativo se traduz em um excesso de quase R$ 6.000,00. Abaixo, apresentamos a evolução dessas divergências conforme apurado em revisões periciais de fôlego:

Período da Análise Valor Sistêmico (Banco) Valor Pericial (Real) Divergência Acumulada Impacto da Falha
Base de Cálculo Gross Up R$ 34.660,40 R$ 32.500,00 R$ 2.160,40 ~6,6%
Parcela Mensal R$ 1.250,64 R$ 1.129,88 R$ 120,76 ~9,6%
Saldo (Mês 24) R$ 30.528,73 R$ 28.261,90 R$ 2.266,83 ~7,4%
IOF Financiado R$ 2.160,40 R$ 1.840,15 R$ 320,25 ~14,8%
Custo Total Juros R$ 25.378,00 R$ 19.532,80 R$ 5.845,20 ~23,0%

A Falha no Compliance e a Ausência de Auditoria Interna

O fato de instituições financeiras de médio e grande porte permitirem que tais discrepâncias cheguem ao Poder Judiciário revela uma falha estrutural de compliance. Os processos de auditoria interna parecem focar na liquidez e no risco de crédito, negligenciando a conformidade matemática da execução contratual. Para o magistrado, a presença de uma planilha pericial que demonstra o afastamento das curvas de amortização é a prova cabal de que o banco não está apenas cobrando juros altos — o que, em tese, seria permitido pela liberdade de mercado — mas está cobrando valores que não possuem lastro no contrato assinado.


Conclusão: A Perícia como Ferramenta de Justiça Econômica

A "Falha na Gestão de CCBs" é um diagnóstico de uma era onde o volume de transações superou a capacidade de conferência individual. O custo dessa ineficiência é repassado integralmente ao consumidor, que raramente possui os meios para identificar que o valor da sua parcela foi inflado por um erro de Gross Up ou por uma carência mal calculada.

Para promotores, juízes e advogados, o trabalho do perito financeiro deve ser visto como uma auditoria externa necessária. Ao aplicar rigor estatístico e conhecimentos de Data Science, o perito traduz a linguagem binária dos bancos para a linguagem jurídica, revelando que, por trás de uma parcela aparentemente inofensiva, pode haver uma gestão ineficiente que retira bilhões do mercado consumidor anualmente. O reequilíbrio desses contratos não é apenas uma questão de direito individual, mas de higidez do mercado financeiro, exigindo que as instituições financeiras aprimorem sua gestão e devolvam ao título CCB a transparência que a lei exige e o mercado espera.


Quesitos para o Advogado

Para auxiliar na instrução processual, utilize estas sugestões de quesitos:

  1. Queira o Sr. Perito informar se a Cédula de Crédito Bancário (CCB) objeto da lide apresenta a memória de cálculo clara e precisa de todos os encargos, conforme exigido pelo Art. 28, § 2º, inciso I da Lei nº 10.931/04, permitindo ao mutuário a exata compreensão da evolução do débito?
  2. Considerando a estrutura algorítmica do contrato, queira o Sr. Perito confirmar se houve a incidência de impostos (IOF) sobre tarifas bancárias ou seguros, e se tal prática gerou a inflação artificial do valor líquido, configurando o chamado "Gross Up" indevido
  3. À luz da Lei do Superendividamento (Lei 14.181/21), queira o Sr. Perito demonstrar se a taxa efetiva de juros aplicada pelo "motor de cálculo" do banco diverge da taxa nominal pactuada, caracterizando erro material que compromete a certeza e liquidez do título?
  4. Pode o Sr. Perito identificar se o software de emissão da CCB utilizou métodos de capitalização de juros de forma opaca, violando o dever de transparência e o princípio da Transparência Algorítmica nos lançamentos do extrato de evolução da dívida?
  5. Com base na análise técnica, queira o Sr. Perito apontar se a ausência de segregação clara entre capital, juros e encargos fiscais impossibilita a aferição da verdade matemática, retirando da CCB a sua natureza de Título Executivo Extrajudicial?
Dica do Dr. Lincoln: Estes quesitos visam obrigar o banco a exibir o "Log de Parametrização" do sistema, onde o erro material sistêmico costuma estar camuflado.

Perguntas Frequentes: Nulidade de CCB e Superendividamento

1. O Erro Material na CCB pode anular a execução bancária?

Sim. Se a perícia técnica demonstrar que o valor bruto foi inflacionado por erros algorítmicos (Gross Up indevido), a Cédula de Crédito Bancário perde os requisitos de certeza e liquidez (Art. 28 da Lei 10.931/04), o que pode levar à extinção da ação executiva por falta de título hábil.

2. Como a Lei do Superendividamento se aplica aos contratos de CCB?

A Lei 14.181/21 exige transparência total sobre o Custo Efetivo Total (CET). Quando o motor de cálculo do banco mascara juros sobre juros ou tarifas ocultas, ele fere o dever de informação, permitindo a revisão judicial para garantir a preservação do mínimo existencial do consumidor.

3. Por que uma perícia de TI é necessária se já tenho um contador?

Diferente da contabilidade tradicional, a auditoria algorítmica investiga a parametrização do software que emitiu a CCB. Erros de arredondamento e truncamento sistêmico são "erros materiais" que muitas vezes passam despercebidos em planilhas comuns, mas são confessados pelos logs do sistema bancário.

4. É possível identificar o erro material sem exibir os logs do banco?

Sim, através da reconstrução do fluxo de caixa. Ao confrontar o valor líquido liberado com a evolução das parcelas, o perito consegue demonstrar matematicamente o excedente sistêmico, criando a prova necessária para o juiz inverter o ônus da prova e exigir a exibição de documentos pelo banco.

5. Qual a diferença entre Juros Abusivos e Erro Material na CCB?

Juros abusivos discutem a taxa de mercado (tese de direito). Já o Erro Material é uma falha de fato: o banco diz que aplicou X, mas o algoritmo executou Y. Provar o erro material é o caminho mais rápido para a procedência, pois não depende de interpretação subjetiva, mas da verdade aritmética absoluta.

EXCLUSIVO PARA ADVOGADOS

Checklist: Auditoria de Financiamento de Veículo

Identificamos divergências matemáticas e falhas operacionais que impactam o saldo devedor de grandes operações de crédito.

Receber Checklist via E-mail
Solicitar Análise de Viabilidade (CCB) Fundamente sua petição inicial com segurança pericial

O que você encontrará no Material Completo:

  • Prova do Erro Material: Como identificar a divergência entre o log do sistema bancário e o contrato assinado.
  • Impugnação da Liquidez: Fundamentação técnica para demonstrar que a CCB perdeu sua força executiva (Art. 28 da Lei 10.931).
  • Cálculo do Mínimo Existencial: Metodologia pericial para aplicação imediata da Lei do Superendividamento (Lei 14.181/21).
  • Auditoria de Gross Up: O passo a passo para expurgar a inflação artificial da base de cálculo do IOF e tarifas.

Nota do Perito em TI: Como Doutor e Analista de Sistemas, audito os "motores de cálculo" bancários para transformar falhas algorítmicas em provas materiais incontestáveis.

Retrato do Dr. Lincoln Sposito, Doutor em Administração e Perito Judicial especializado em finanças e sistemas.

Dr. Lincoln Sposito

Doutor em Administração e Perito Judicial. Especialista em auditoria bancária e perícia financeira, utiliza rigor estatístico e Data Science para identificar assimetrias informacionais e garantir o reequilíbrio de contratos de crédito complexos.